图的访问与存储—临接表
一、基本结构
二、临接表示例
1.无向图的邻接表
如果上面的图用临接矩阵表示,那么便是一个4*4的矩阵
| 顶点 | 0 | 1 | 2 | 3 |
|---|---|---|---|---|
| 0 | 0 | 1 | 1 | 0 |
| 1 | 1 | 0 | 1 | 0 |
| 2 | 1 | 1 | 0 | 1 |
| 3 | 0 | 0 | 1 | 0 |
如果是临接表,那么可以看出一共有4个顶点0、1、2、3
每个顶点都有“邻居”(邻居数组)。
比如顶点0,它的邻居数组是[1,2]
顶点1,它的邻居数组是[0,2]
顶点2,它的邻居数组是[0,1,3]
顶点3,它的邻居数组是[2]
表示成下面这样:
0 → [1, 2] 1 → [0, 2] 2 → [0, 1, 3] 3 → [2]
参考代码:
#include <iostream>
#include <vector>
using namespace std;
// 创建无向图的邻接表
vector<vector<int> > createUndirectedGraph(int numVertices) {
return vector<vector<int> >(numVertices);
}
// 添加无向边
void addUndirectedEdge(vector<vector<int> >& graph, int u, int v) {
graph[u].push_back(v);
graph[v].push_back(u);
}
// 打印邻接表
void printGraph(const vector<vector<int> >& graph) {
cout << "无向图邻接表:" << endl;
for (int i = 0; i < graph.size(); i++) {
cout << "顶点 " << i << " -> ";
// 循环遍历邻居
for (int j = 0; j < graph[i].size(); j++) {
cout << graph[i][j] << " ";
}
cout << endl;
}
}
// 计算每个顶点的度
vector<int> calculateDegrees(const vector<vector<int> >& graph) {
vector<int> degrees(graph.size(), 0);
for (int i = 0; i < graph.size(); i++) {
degrees[i] = graph[i].size();
}
return degrees;
}
// 检查两个顶点之间是否有边 - 使用传统for循环
bool hasEdge(const vector<vector<int> >& graph, int u, int v) {
for (int j = 0; j < graph[u].size(); j++) {
if (graph[u][j] == v) {
return true;
}
}
return false;
}
// 删除无向边
void removeUndirectedEdge(vector<vector<int> >& graph, int u, int v) {
// 删除 u->v 的边
for (int j = 0; j < graph[u].size(); j++) {
if (graph[u][j] == v) {
graph[u].erase(graph[u].begin() + j);
break;
}
}
// 删除 v->u 的边
for (int j = 0; j < graph[v].size(); j++) {
if (graph[v][j] == u) {
graph[v].erase(graph[v].begin() + j);
break;
}
}
}
int main() {
// 创建无向图
vector<vector<int> > graph = createUndirectedGraph(6);
// 添加边
addUndirectedEdge(graph, 0, 1);
addUndirectedEdge(graph, 0, 2);
addUndirectedEdge(graph, 1, 3);
addUndirectedEdge(graph, 1, 4);
addUndirectedEdge(graph, 2, 4);
addUndirectedEdge(graph, 3, 5);
// 打印图
printGraph(graph);
cout << endl;
// 计算顶点度
vector<int> degrees = calculateDegrees(graph);
for (int i = 0; i < degrees.size(); i++) {
cout << "顶点 " << i << " 的度: " << degrees[i] << endl;
}
cout << endl;
// 检查边
cout << "检查边 0-1: " << (hasEdge(graph, 0, 1) ? "存在" : "不存在") << endl;
cout << "检查边 0-3: " << (hasEdge(graph, 0, 3) ? "存在" : "不存在") << endl;
cout << endl;
// 删除边
cout << "删除边 0-1 后:" << endl;
removeUndirectedEdge(graph, 0, 1);
printGraph(graph);
return 0;
}2.有向图的临接表
对于上面这个有向图,如果用临接矩阵表示,是一个4*4的临接矩阵,如下所示
| 顶点 | 0 | 1 | 2 | 3 |
|---|---|---|---|---|
| 0 | 0 | 1 | 1 | 0 |
| 1 | 0 | 0 | 1 | 0 |
| 2 | 0 | 0 | 0 | 1 |
| 3 | 0 | 0 | 0 | 0 |
如果是临接表,那么有4个顶点0,1,2,3
对于顶点0来说,它的邻居数组是[1,2]
对于顶点1来说,它的邻居数组是[2]
对于顶点2来说,它的邻居数组是[3]
对于顶点3来说,它的邻居数组是[]
表示成下面
顶点0: [1, 2] // 0指向1、2 顶点1: [2] // 1指向2 顶点2: [3] // 2指向3 顶点3: [] // 3无出边
参考代码
#include <iostream>
#include <vector>
using namespace std;
// 创建有向图的邻接表
vector<vector<int> > createDirectedGraph(int numVertices) {
return vector<vector<int> >(numVertices);
}
// 添加有向边
void addDirectedEdge(vector<vector<int> >& graph, int from, int to) {
graph[from].push_back(to);
}
// 打印邻接表
void printGraph(const vector<vector<int> >& graph) {
cout << "有向图邻接表:" << endl;
for (int i = 0; i < graph.size(); i++) {
cout << "顶点 " << i << " -> ";
// for循环遍历出边
for (int j = 0; j < graph[i].size(); j++) {
cout << graph[i][j] << " ";
}
cout << endl;
}
}
// 计算每个顶点的出度
vector<int> calculateOutDegrees(const vector<vector<int> >& graph) {
vector<int> outDegrees(graph.size(), 0);
for (int i = 0; i < graph.size(); i++) {
outDegrees[i] = graph[i].size();
}
return outDegrees;
}
// 计算每个顶点的入度
vector<int> calculateInDegrees(const vector<vector<int> >& graph) {
vector<int> inDegrees(graph.size(), 0);
for (int i = 0; i < graph.size(); i++) {
for (int j = 0; j < graph[i].size(); j++) {
int target = graph[i][j];
inDegrees[target]++;
}
}
return inDegrees;
}
// 检查是否有从u到v的有向边 - 使用传统for循环
bool hasDirectedEdge(const vector<vector<int> >& graph, int from, int to) {
for (int j = 0; j < graph[from].size(); j++) {
if (graph[from][j] == to) {
return true;
}
}
return false;
}
// 删除有向边 - 使用传统for循环
void removeDirectedEdge(vector<vector<int> >& graph, int from, int to) {
for (int j = 0; j < graph[from].size(); j++) {
if (graph[from][j] == to) {
graph[from].erase(graph[from].begin() + j);
break;
}
}
}
int main() {
// 创建有向图
vector<vector<int> > graph = createDirectedGraph(6);
// 添加有向边
addDirectedEdge(graph, 0, 1);
addDirectedEdge(graph, 0, 2);
addDirectedEdge(graph, 1, 3);
addDirectedEdge(graph, 2, 1);
addDirectedEdge(graph, 2, 4);
addDirectedEdge(graph, 3, 5);
addDirectedEdge(graph, 4, 3);
addDirectedEdge(graph, 4, 5);
// 打印图
printGraph(graph);
cout << endl;
// 计算出度和入度
vector<int> outDegrees = calculateOutDegrees(graph);
vector<int> inDegrees = calculateInDegrees(graph);
for (int i = 0; i < graph.size(); i++) {
cout << "顶点 " << i << " - 出度: " << outDegrees[i]
<< ", 入度: " << inDegrees[i] << endl;
}
cout << endl;
// 检查有向边
cout << "检查边 0->1: " << (hasDirectedEdge(graph, 0, 1) ? "存在" : "不存在") << endl;
cout << "检查边 1->0: " << (hasDirectedEdge(graph, 1, 0) ? "存在" : "不存在") << endl;
cout << "检查边 2->4: " << (hasDirectedEdge(graph, 2, 4) ? "存在" : "不存在") << endl;
cout << endl;
// 删除边
cout << "删除边 0->2 后:" << endl;
removeDirectedEdge(graph, 0, 2);
printGraph(graph);
return 0;
}3.带权图的邻接表
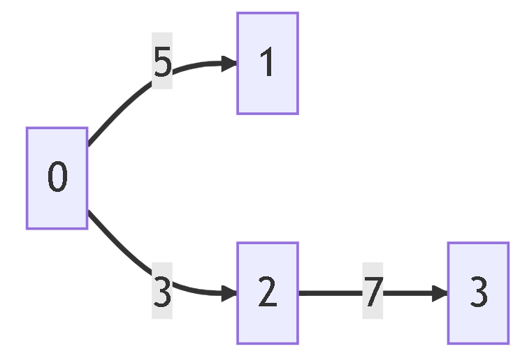
邻接表需存储 “邻居顶点 + 权重”(通常用二元组 / 结构体):
对于这个带权图,如果是临接矩阵,那么是4*4的临接矩阵,表示成下面这样
| 顶点 | 0 | 1 | 2 | 3 |
|---|---|---|---|---|
| 0 | 0 | 5 | 3 | 0 |
| 1 | 0 | 0 | 0 | 0 |
| 2 | 0 | 0 | 0 | 7 |
| 3 | 0 | 0 | 0 | 0 |
如果是临接表进行表示,
顶点0: [(1,5), (2,3)] 顶点1: [] 顶点2: [(3,7)] 顶点3: []
带有权重的图可以使用pair来表示
适用于有向、带权重的场景(如路径长度、费用),用 pair<int, int> 存储「邻居顶点 + 权重」(第一个元素 = 邻居,第二个 = 权重)。
参考答案:
#include <iostream>
#include <vector>
#include <utility>
using namespace std;
//添加带权边
void addEdgeToGraph(vector<vector<pair<int, int>>>& adj, int u, int v, int weight) {
adj[u].push_back(pair<int, int>(v, weight));
}
//打印
void printGraph(vector<vector<pair<int, int>>>& adj) {
for (int i = 0; i < adj.size(); ++i) {
cout << "顶点 " << i << " 指向:";
vector<pair<int, int>> edges = adj[i];
for (int j = 0; j < edges.size(); ++j) {
int neighbor = edges[j].first;
int weight = edges[j].second;
cout << "(" << neighbor << ", 权重" << weight << ") ";
}
cout << endl;
}
}
int main() {
// 4个顶点 二维向量
vector<vector<pair<int, int>>> graphAdj(4);
// 添加边(此时graphAdj已有0-3共4个顶点,访问合法)
addEdgeToGraph(graphAdj, 0, 1, 13); //加入边和权重
addEdgeToGraph(graphAdj, 0, 2, 14);
addEdgeToGraph(graphAdj, 1, 2, 15);
addEdgeToGraph(graphAdj, 2, 3, 16);
addEdgeToGraph(graphAdj, 3, 1, 17);
cout << "=== 有向带权图===" << endl;
printGraph(graphAdj);
cout << endl;
return 0;
}扫描二维码推送至手机访问。
版权声明:本文由青少年编程知识记录发布,如需转载请注明出处。


